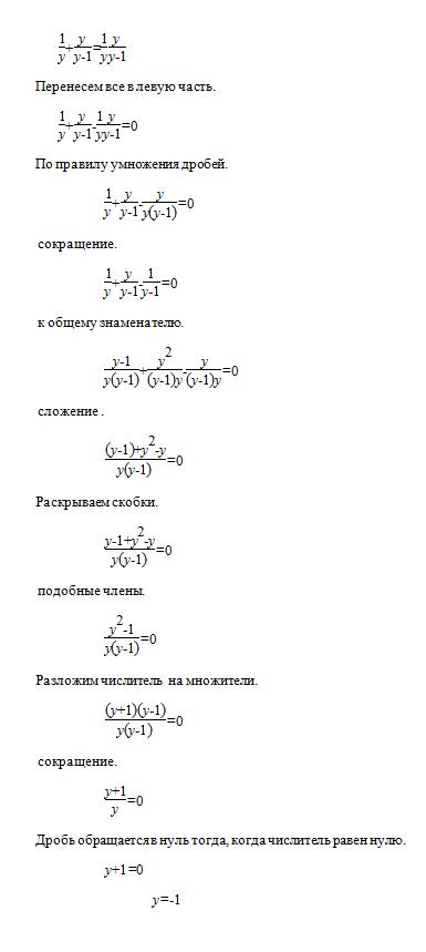
При каком значении Y сумма дробей 1/y и y/y-1 равна их произведению?
ПРОШУ, МНЕ СРОЧНО НАДО!!! Сделайте, пожалуйста все раскрыто и понятно с объяснениями. НЕ МОГУ ПОНЯТЬ!
Ответы
Ответ дал:
0
===================================================
Приложения:

Вас заинтересует
2 года назад
8 лет назад
10 лет назад
10 лет назад
10 лет назад