• Предмет: Алгебра
  • Автор: f0xx
  • Вопрос задан 10 лет назад

Даю 25 БАЛЛОВ. Решите 167 пример плз, буду очень благодарен!!!!

Приложения:

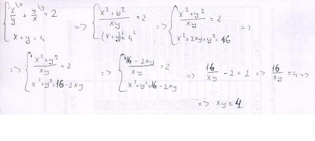
Ответы

Ответ дал: ewgenijbark
0
см. вложение
\\\\\\\\\\
Приложения:
Вас заинтересует