• Предмет: Алгебра
  • Автор: lerarekhtina
  • Вопрос задан 10 лет назад

Помогите пожалуйста проверить даю 90 баллов

Приложения:

Ответы

Ответ дал: ewgenijbark
0
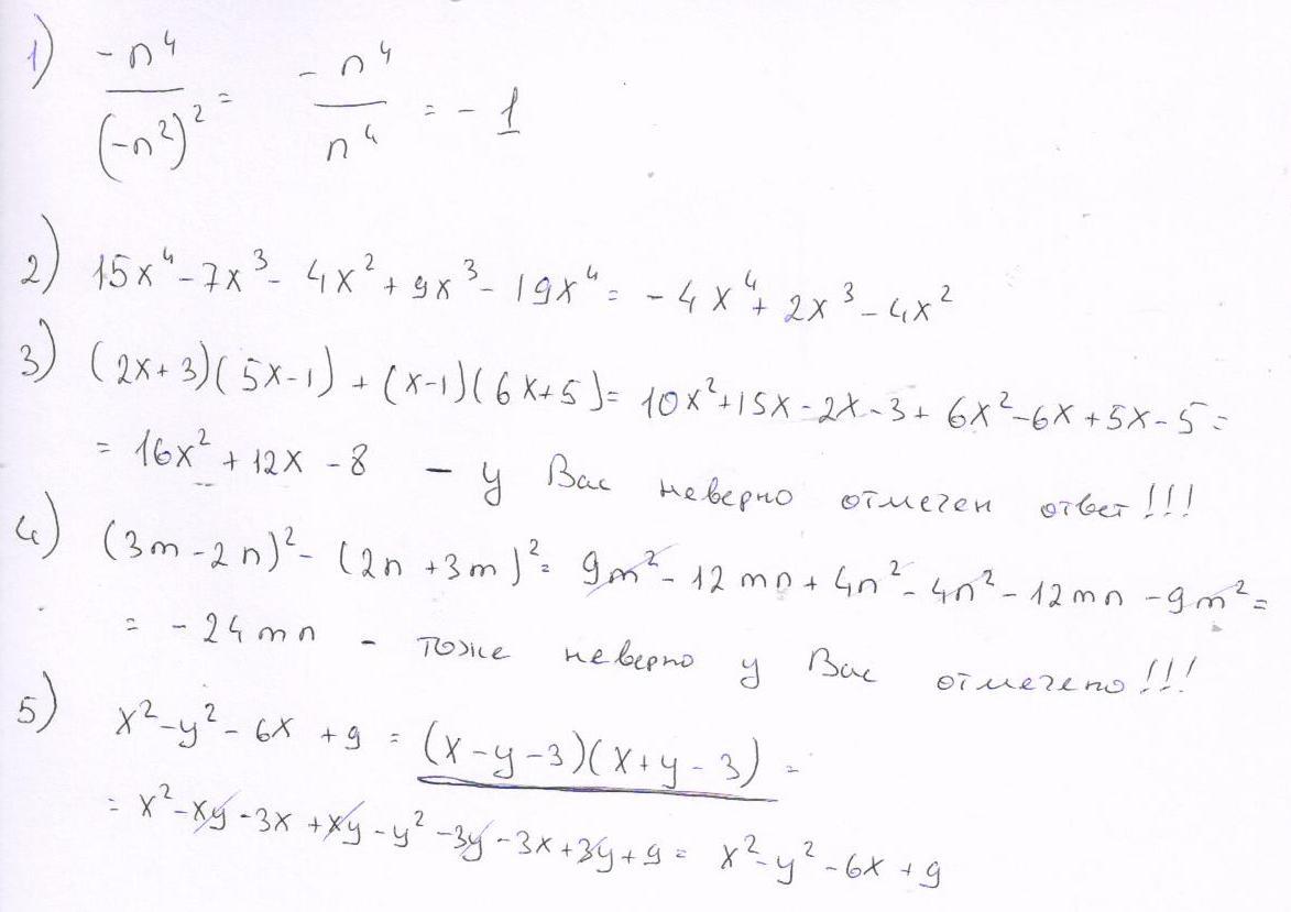
см. вложение
\\\\\\\\\\\\\
Приложения:
Ответ дал: lerarekhtina
0
а мне кажется 1 это -2
Ответ дал: ewgenijbark
0
нет, там же в итоге и в числителе, и в знаменателе получается 4 степень. При делении степени вычитаются 4 - 4 = 0, а любое число в нулевой степени равно 1.
Ответ дал: lerarekhtina
0
это точно?
Ответ дал: lerarekhtina
0
Спасибо большое
Ответ дал: ewgenijbark
0
Да, это точно. Рад помочь)
Ответ дал: Veveta
0
N1
ответ:1

N2
-4x⁴+2x³-4x²
N3
16x²+12x-8
N4
-24mn
N5
(x-y-3)(x+y-3)
Приложения:
Ответ дал: Veveta
0
N1 оттвет: -1
Вас заинтересует