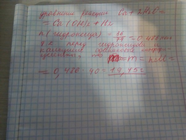
Сколько граммов кальция вступило в реакцию с водой если в результате получилось 36 грамм гидроксида кальция?
Ответы
Ответ дал:
0
вроде так............
Приложения:
Вас заинтересует
3 года назад
3 года назад
8 лет назад
10 лет назад
10 лет назад
11 лет назад
11 лет назад