• Предмет: Алгебра
  • Автор: Аноним
  • Вопрос задан 10 лет назад

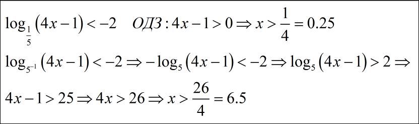
log _{ frac{1}{5} }(4x-1) textless  -2

Приложения:

Ответы

Ответ дал: Аноним
0
решение смотри во вложении
Приложения:
Вас заинтересует