• Предмет: Алгебра
  • Автор: lakme
  • Вопрос задан 10 лет назад

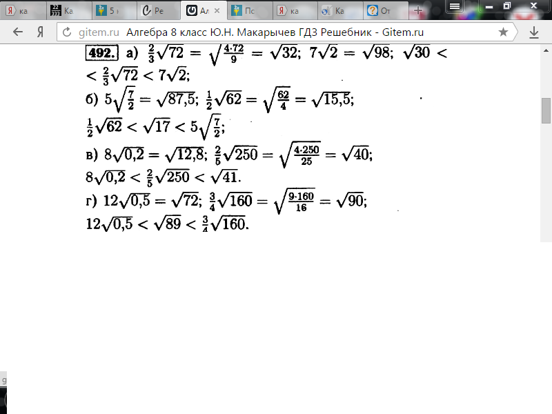
б) корень из 87,5 как получился можно решение

Приложения:

Ответы

Ответ дал: rikine
0
Ниже.............
Надеюсь понятно
Приложения:
Ответ дал: lakme
0
СПАСИБО КОНЕЧНО НО Я ВСЕ РЕШИЛА УЖЕЕ
Вас заинтересует