Ответы
Ответ дал:
0
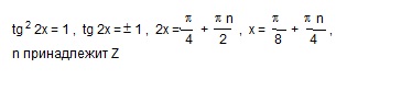
Использована формула тригонометрического уравнения tg x = a, x = arctg a + pi*n.
А затем алгебраические преобразования
Приложения:

Вас заинтересует
2 года назад
2 года назад
8 лет назад
8 лет назад
10 лет назад
10 лет назад