• Предмет: Алгебра
  • Автор: Picachu1
  • Вопрос задан 11 лет назад

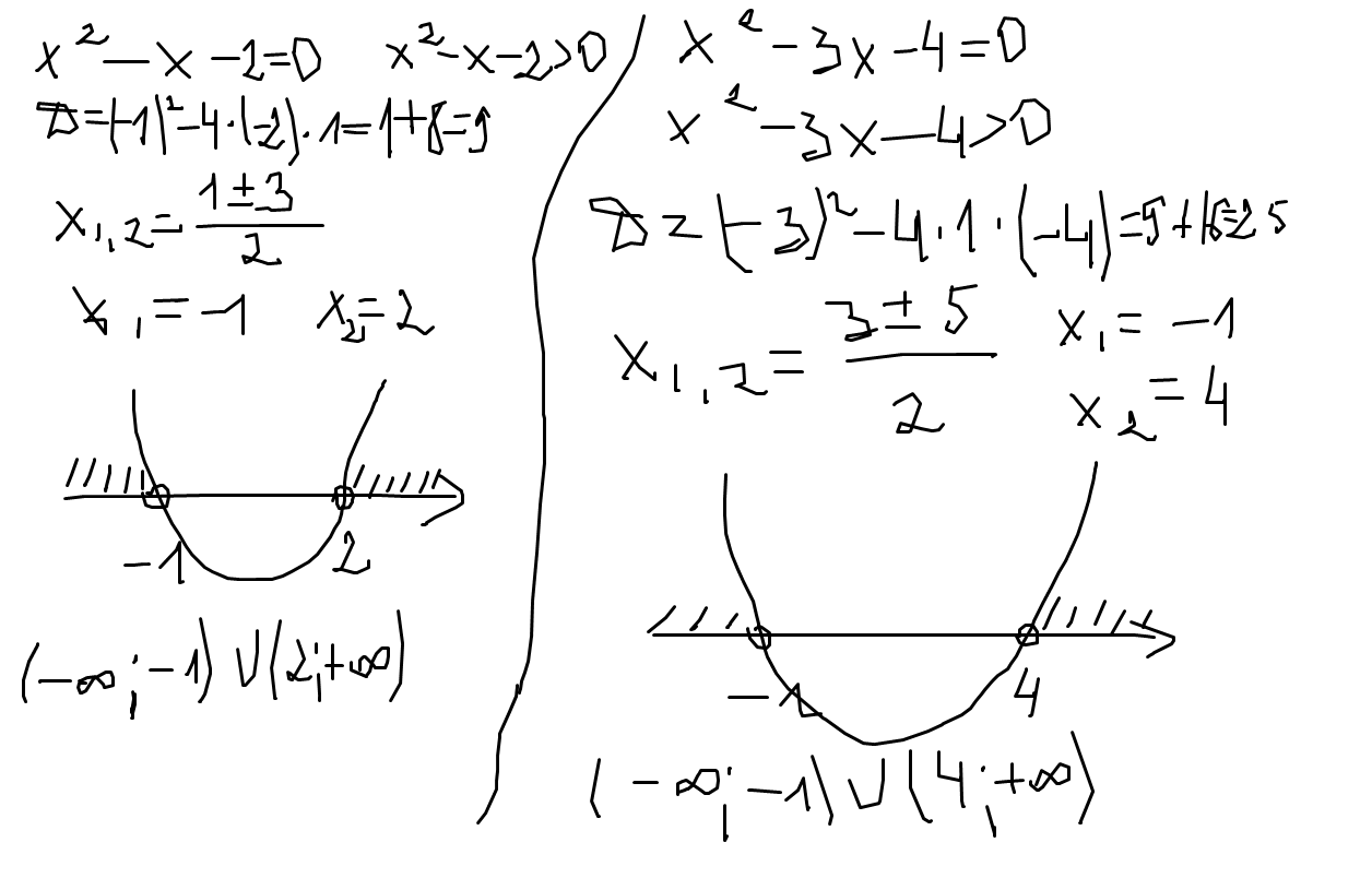
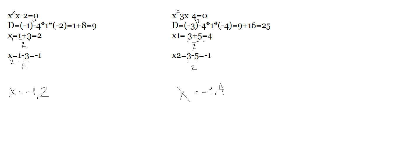
Решите графически уравнение:

а) х²- х - 2 = 0

б) х² - 3х - 4 = 0

 

Ответы

Ответ дал: ShutUp
0

наверное так, я надеюсь, я все понятно написала)

Приложения:
Ответ дал: BiBi95
0

.................................................................

Приложения:
Вас заинтересует