Ответы
Ответ дал:
0
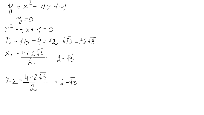
Решение приведено во вложениях
Приложения:

Ответ дал:
0
.....................................................................................
Приложения:

Вас заинтересует
2 года назад
8 лет назад
10 лет назад
10 лет назад
10 лет назад