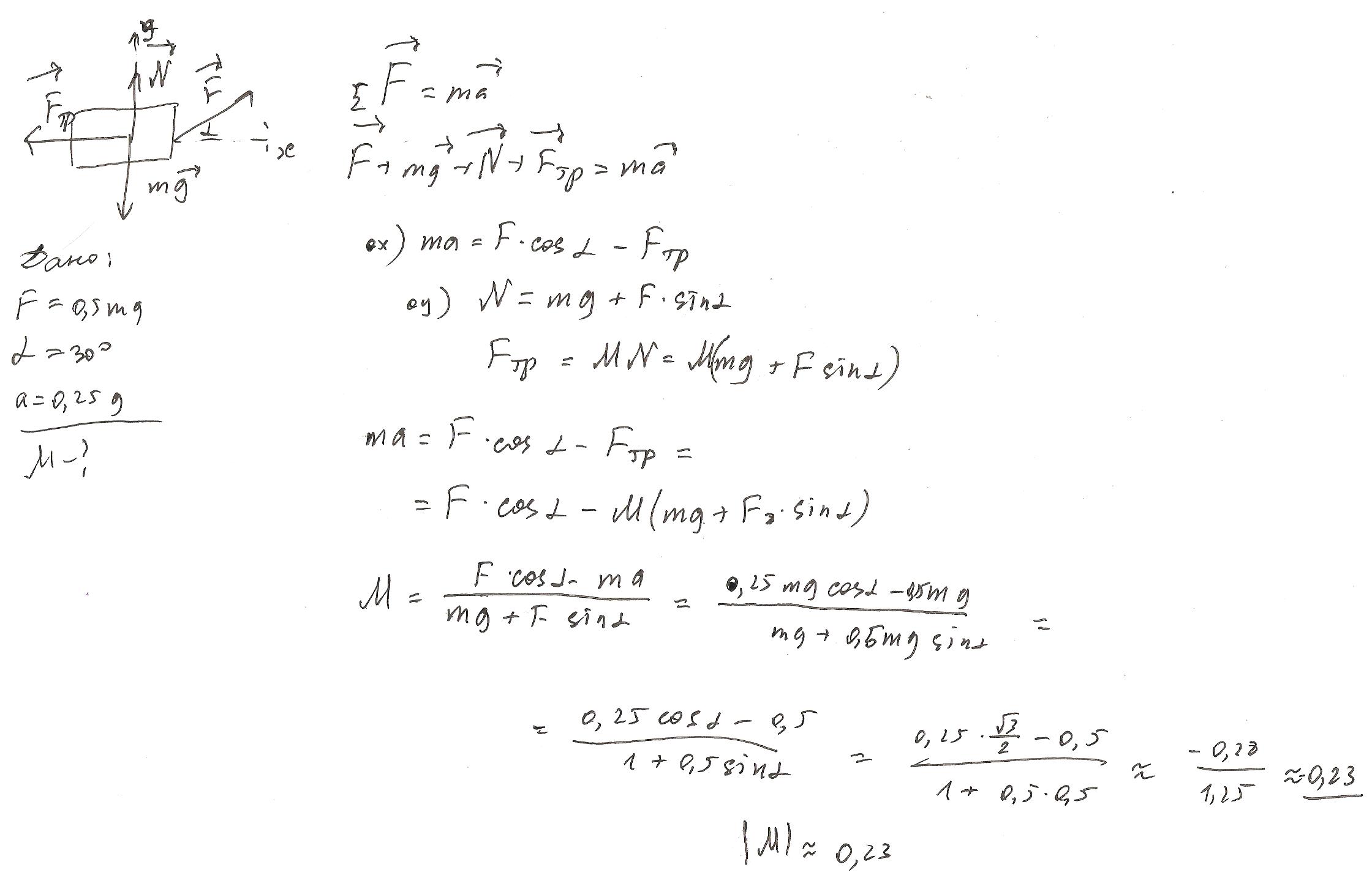
Под действием силы F=0.5gm, направленной под углом 30 градусов к горизонту, тело массой m движется с ускорением a=0.25g . Коэффициент трения тела о поверхность
ОТВЕТ 0.24
Ответы
Ответ дал:
0
приближение результата зависит от приближение значения косинуса
Приложения:

Вас заинтересует
2 года назад
2 года назад
8 лет назад
10 лет назад
10 лет назад
10 лет назад