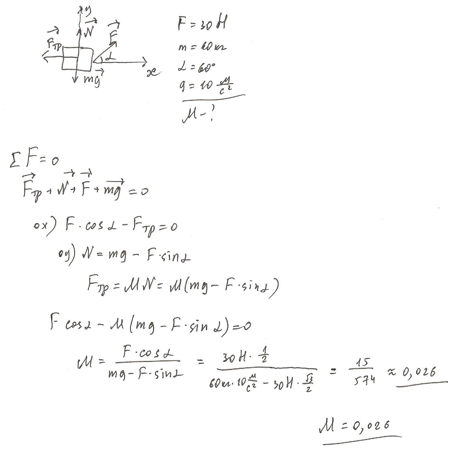
Cани массой 60 кг тянут с помощью веревки ,направленной под углом 60 градусов к направлению движения сила натяжения веревки 30 Н. Сани движутся равномерно по горизонтальной плоскости ,g=10 мс^2. Коэффициент трения равен
ответ 0.026
Ответы
Ответ дал:
0
надеюсь будет понятно...
Приложения:

Вас заинтересует
2 года назад
2 года назад
8 лет назад
8 лет назад
10 лет назад
10 лет назад
10 лет назад