• Предмет: Физика
  • Автор: Аноним
  • Вопрос задан 11 лет назад

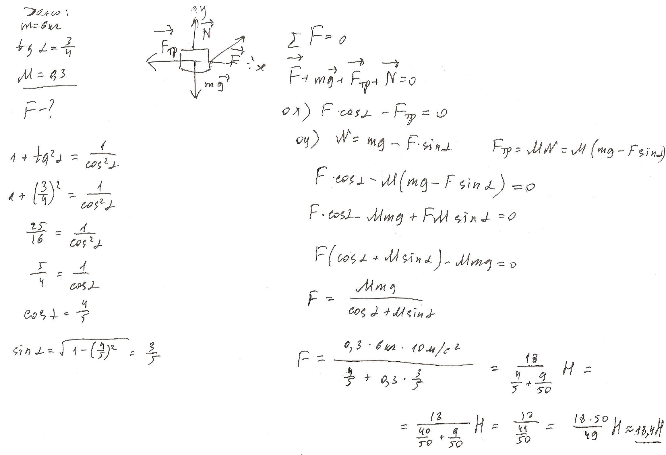
Человек тянет за собой с постоянной скоростью санки массой 6 кг с помощью веревки ,составляющей с горизонтом угол, тангенс которого равен 0.75 коэффициент трения между санками и горизонтальной поверхностью 0.3. Определите силу натяжения веревки.

 

 

 

ответ 18 Н

Ответы

Ответ дал: Artem112
0

надеюсь будет понятно...

Приложения:
Вас заинтересует