Ответы
Ответ дал:
0
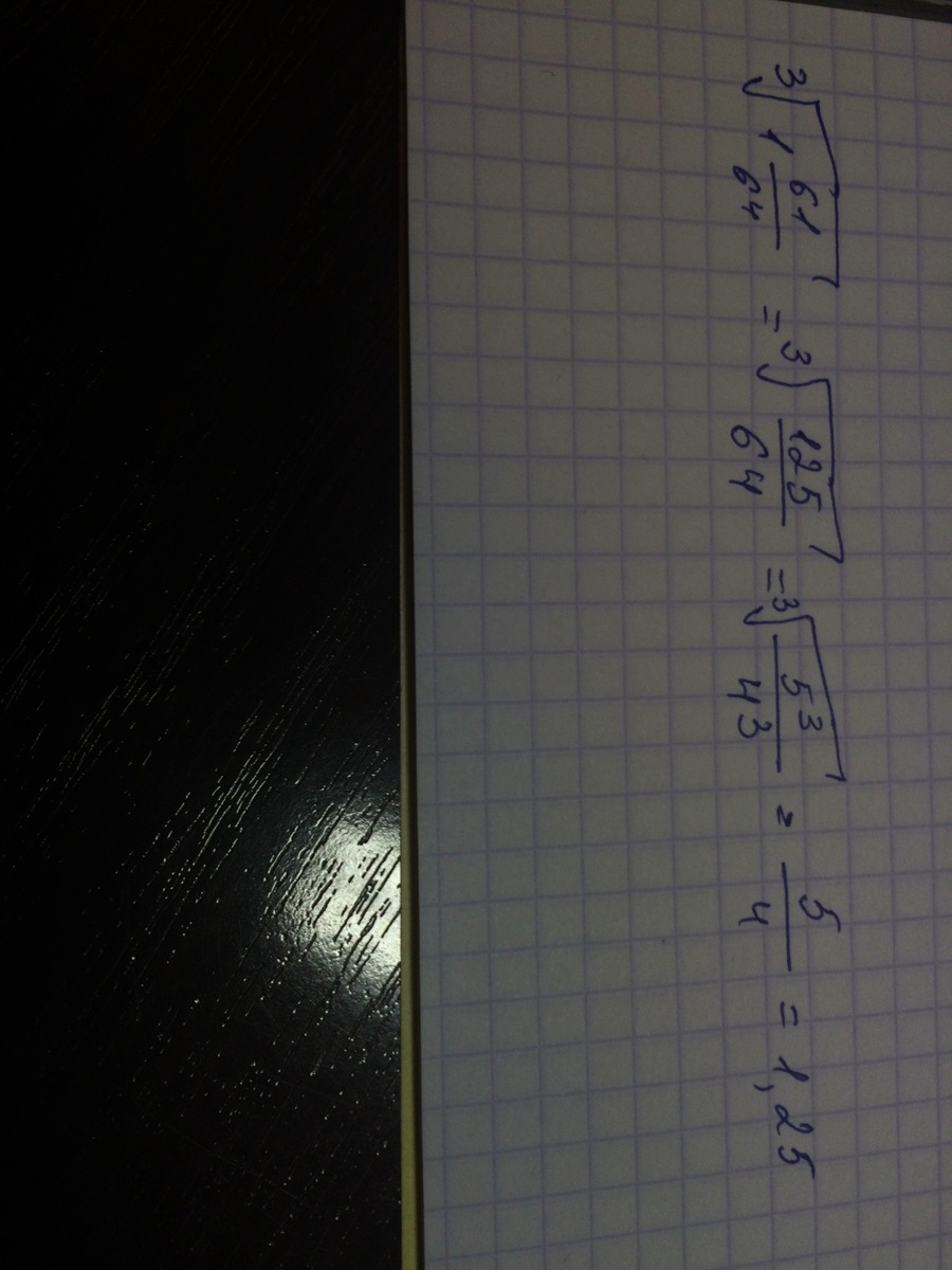
Приведено подробное решение, вариант ответа выберите сами.
Приложения:

Ответ дал:
0
Большое спасибо!:)
Ответ дал:
0
Рад помочь
Вас заинтересует
2 года назад
2 года назад
7 лет назад
10 лет назад
10 лет назад