• Предмет: Алгебра
  • Автор: Izzyaa
  • Вопрос задан 11 лет назад

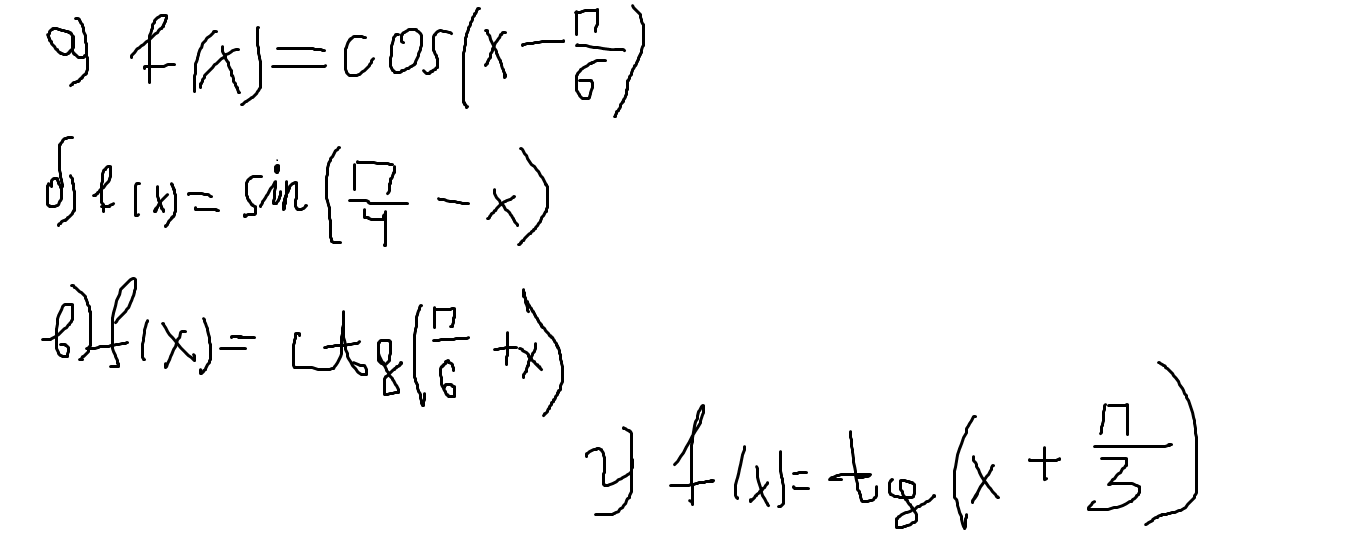
 Вычислите производную функции 

 Решение опешите подробно

Приложения:

Ответы

Ответ дал: Katyuha85
0

1). f(x) = cos(x-π/6)

f '(x) = (cos(x-π/6)) ' = -sin(x-π/6)*(x-π/6) ' = -sin(x-π/6)*1 = -sin(x-π/6)

 

2). f(x)=sin(π/4-x)

f ' (x) = (sin(π/4-x)) ' = cos(π/4-x)*((π/4-x)) ' = cos(π/4-x)*(-1) = -cos(π/4-x)

 

3). f(x) = ctg(π/6+x)

f ' (x) = (ctg(π/6+x)) ' = (-1/sin²(x))*(π/6+x) ' = -1/sin²(x)

 

4). f(x)=tg(x+π/3)

f ' (x) = (tg(x+π/3)) ' = (1/cos²(x+π/3)) * (x+π/3) ' = 1/cos²(x+π/3)

Вас заинтересует