помогите решьть плиз все это:-)))7и+14=21+7и)))2 уравнение:-)))10+30т=20т+100)))третье уравнение))))z*7=z*5))))4 уравнение:-)))[x-8][x-12]=0)))))и еще одно плиз)))64000:[2*[7800+200]:200]))))))пожалуйста помогите решить срочно надо))
Ответы
Ответ дал:
0
пойдет?)))))))))))))
Приложения:





Ответ дал:
0
№1
7и+14+=21+7и
7и-7и=21-14
0=7
№2
10+30т=20т+100
30т-20т=100-10
10т=90
т=9
№3
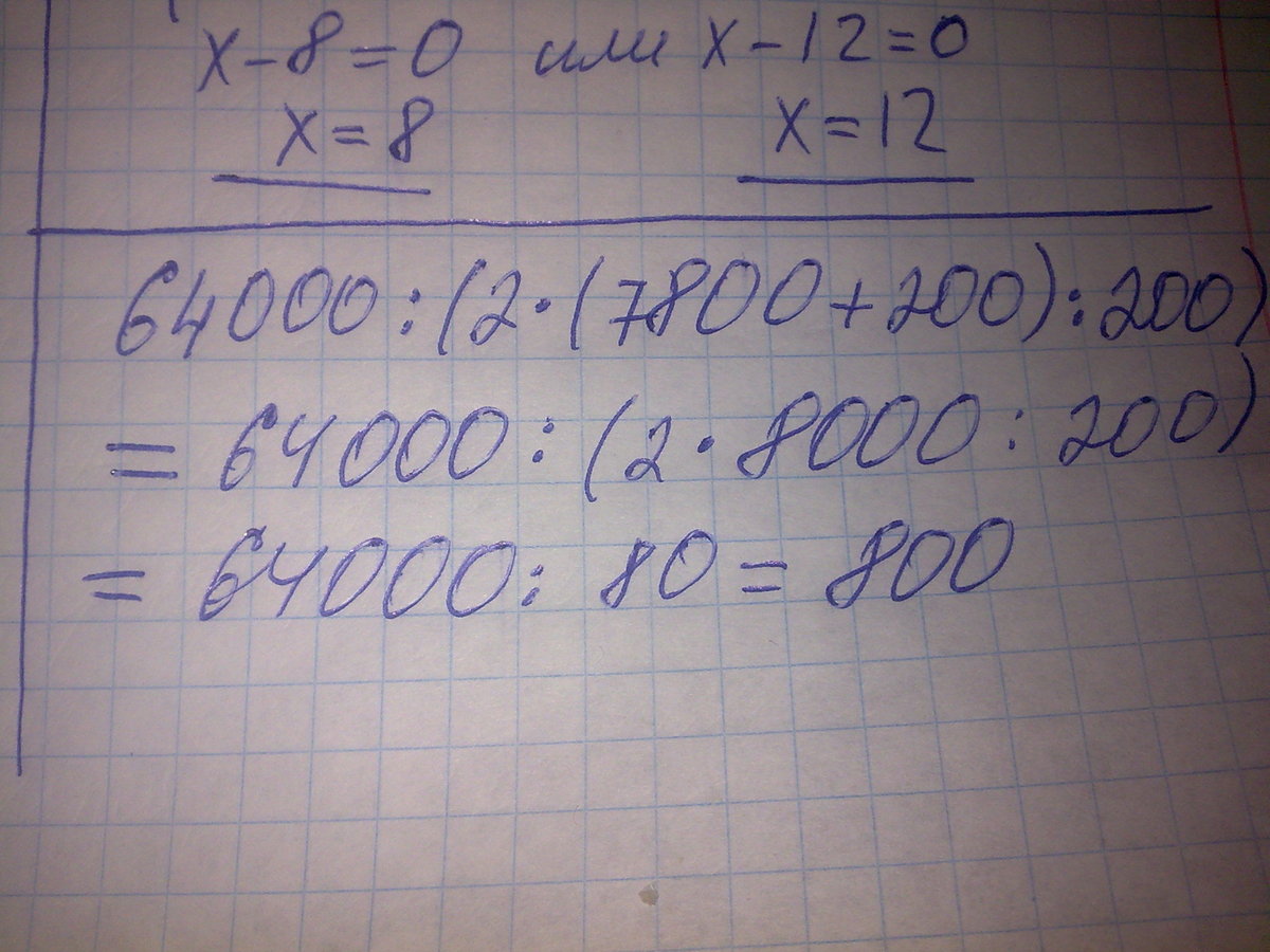
(x-8)(x-12)=0
x^2-12x-8x+96=0
x^2-20x+96=0
D=(-20)^2-4*96=16
x1=(20-16)/2=2
x2=(20+16)/2=18
№4
6400:(2*(7800+200):200)= 80
:)
Приложения:





Вас заинтересует
2 года назад
8 лет назад
10 лет назад