ПОДАЛУЙСТА! Помогите!!! ОЧЕНЬ ПРОШУ!!! 40 баллов!
Я вообще не поняла эту тему((( По самостоятельной получила 2( надо работу над ошибками. А я вообще не понимаю!((( Если поможете буду КОСМИЧЕСКИ БЛАГОДАРНА!!!
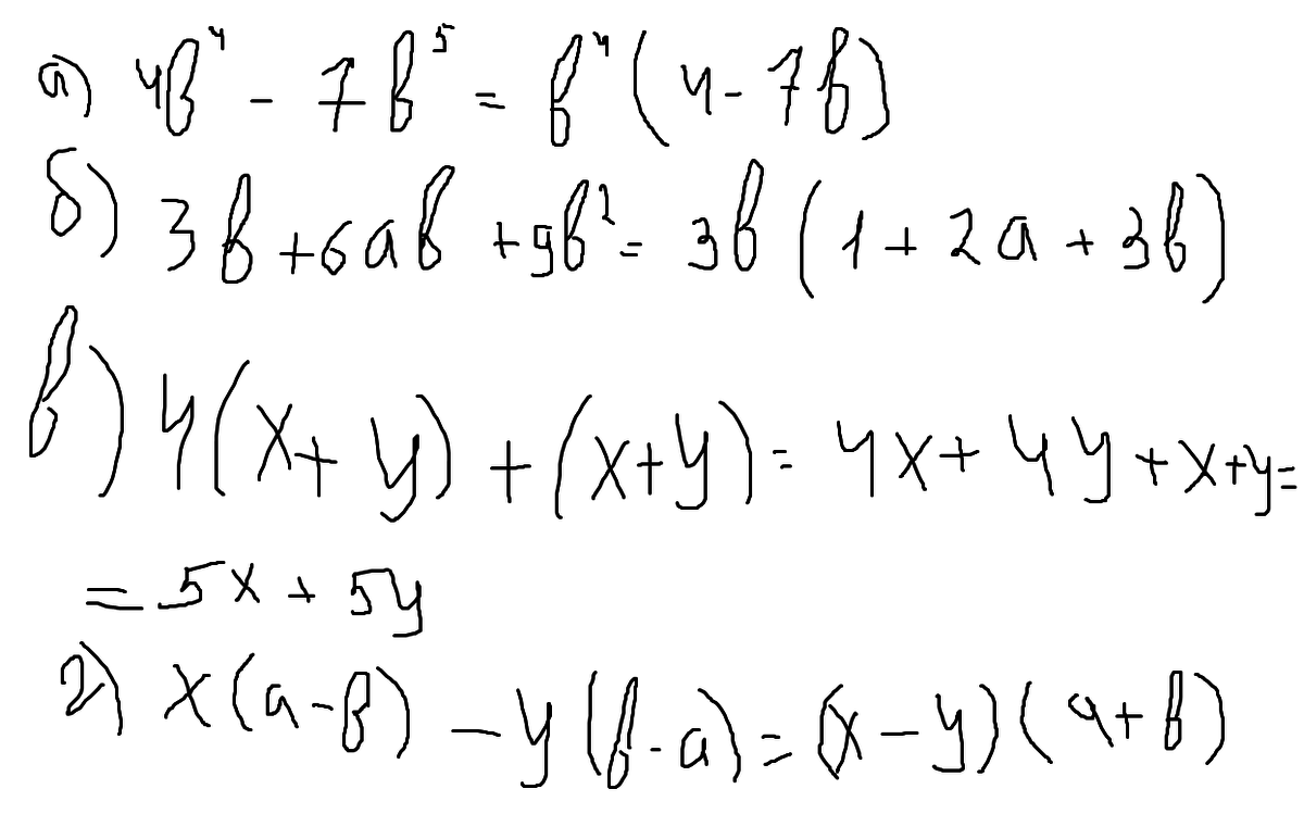
(Задание на фото).
Заранее спасибо!
Приложения:

Ответы
Ответ дал:
0
как то так получается
Приложения:

Ответ дал:
0
ОГРОМНОЕ СПАСИБО!!! Я ОЧЕНЬ рада! Спасибо за помощь!
Ответ дал:
0
b в четвёртой выносим за скобки =b^4(4b-7) если сейчас перемножим то получим 4b в пятой минус7b в четвёртой
=3b(1+2a+3b)
=x(a-b)+y(a-b)=(a-b)(x+y)
=1,2(47+85-32)=1,2*100=120
Приложения:

Ответ дал:
0
СПАСИБО!!! огромное СПАСИБО!!!
Вас заинтересует
2 года назад
7 лет назад
7 лет назад
10 лет назад
10 лет назад
10 лет назад