Ответы
Ответ дал:
0
решение во вложении))))))))))))
Приложения:

Ответ дал:
0
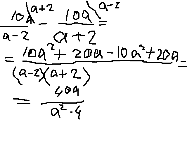
10a 10a 10a(a+2)-10a(a-2) 40a
_____ - _____= ________________= ______ или 40a/(a-2)(a+2)
a-2 a+2 (a-2)(a+2) a^2-4
Приложения:

Вас заинтересует
2 года назад
8 лет назад
10 лет назад
10 лет назад
10 лет назад