Ответы
Ответ дал:
0
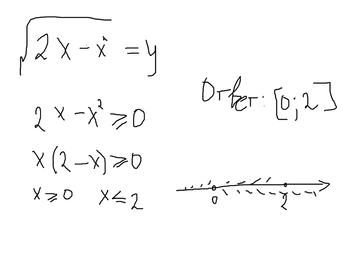
Вроде все так должно)))
Приложения:

Ответ дал:
0
Правильно, именно так и должно!
Вас заинтересует
2 года назад
7 лет назад
7 лет назад
10 лет назад
10 лет назад
10 лет назад