Ответы
Ответ дал:
0
Правило!
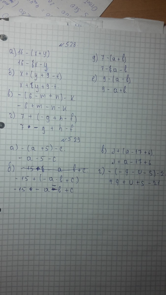
если перед скобками -, то при раскрытии отбрасываем скобки и меняем знаки в ней, а + оставляем выражение неизменным !
если перед скобками -, то при раскрытии отбрасываем скобки и меняем знаки в ней, а + оставляем выражение неизменным !
Приложения:

Ответ дал:
0
ошибся в г 529 -q+u+s-21
Ответ дал:
0
молодец правила точное и правильное
Вас заинтересует
2 года назад
2 года назад
7 лет назад
7 лет назад
10 лет назад
10 лет назад