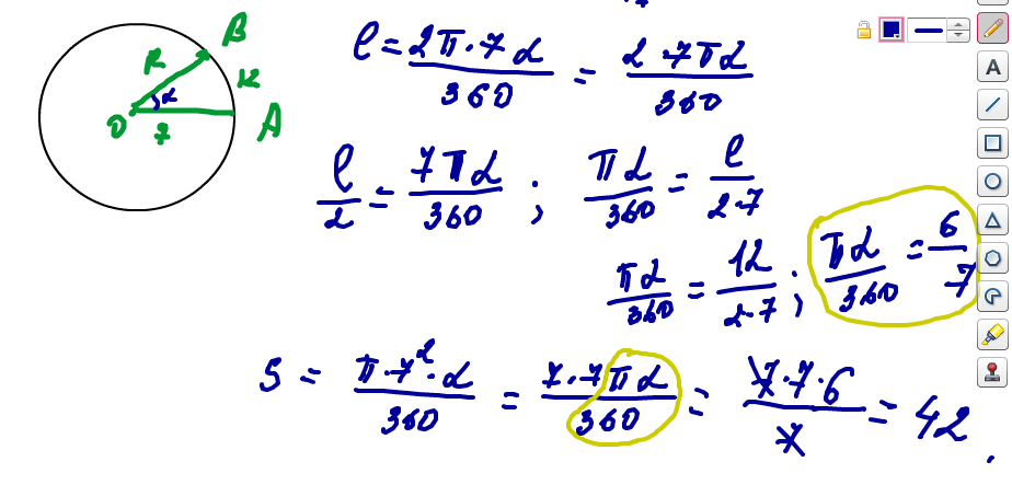
Пожалуйста, помогите!! найдите площадь кругового сектора, если его радиус равен 7 см и длина дуги равна 12 см
Ответы
Ответ дал:
0
Решение в файлике внизу!!!
Приложения:

Вас заинтересует
2 года назад
2 года назад
8 лет назад
10 лет назад
10 лет назад
10 лет назад