Помогите пожалуйста
Жесткость пружины 500 Н/м. Определите силу с которой действовали на пружину, если она удлинилась на 0,02 м.
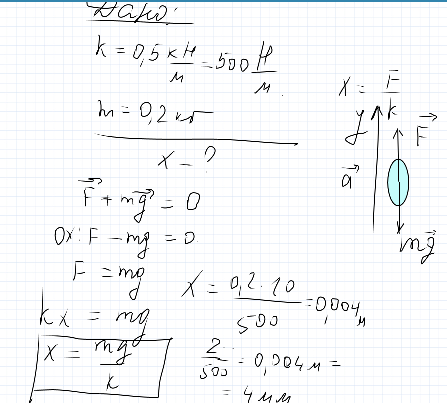
Найдите удлинение резинового шнура под действием силы 2 Н, если его жесткость 0,5 кН.
Ответы
Ответ дал:
0
Смотри решение задачи в приложенном файле.
Приложения:
Ответ дал:
0
А вторая где
Ответ дал:
0
требовать решения второй задачи можно если написано корректно условие.
в нашем случае жесткость указана в неверных единицах.
отвечающий не стал решать задачу с неверным условием и он (она) прав
в нашем случае жесткость указана в неверных единицах.
отвечающий не стал решать задачу с неверным условием и он (она) прав
Вас заинтересует
3 года назад
10 лет назад
10 лет назад
11 лет назад
11 лет назад