• Предмет: Физика
  • Автор: angelinagoncha
  • Вопрос задан 10 лет назад

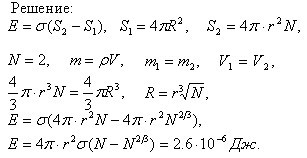
Две капли ртути радиусом r=1 мм каждая слились в одну большую каплю. Какая энергия E выделится при этом слиянии? Считать процесс изотермическим.

Ответы

Ответ дал: Winslow29
0
Если не ошибаюсь то это должно так быть)
Приложения:
Вас заинтересует