• Предмет: Математика
  • Автор: 89539322010
  • Вопрос задан 11 лет назад

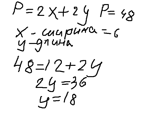
периметр прямоугольника равен 48 см,а его ширина-6см.найди длину этого прямоугольника .

Ответы

Ответ дал: komasilo
0

Пусть ширина - a, длина  - b

тогда P=2(a+b)

48=2(6+b)

6+b=24

b = 18

ответ : 18

Ответ дал: anonymys1
0

решение во вложении)))))))))

Приложения:
Вас заинтересует