• Предмет: Алгебра
  • Автор: dolina2
  • Вопрос задан 10 лет назад

помогите пожалуйста!!!
даю 50 баллов
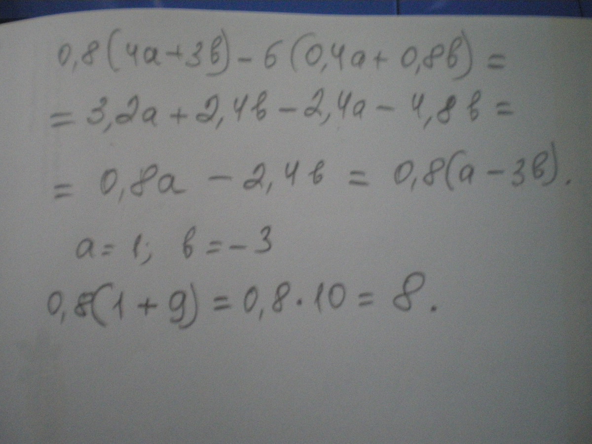
0,8(4a+3b)−6(0,4a+0,8b)
при а=1, б=-3

Ответы

Ответ дал: Пеппер
0
решаем
...................................
Приложения:
Ответ дал: dolina2
0
спасибо большое, нее поможете ещё? а то я не очень понимаю по теме?!
Ответ дал: Пеппер
0
лучший ответ выбирать умеете? если да, то выбирайте
Ответ дал: Darya312321
0
О боже,тебе лижбы твой засчитали как "лучшиц" не дождешься,мала еще
Ответ дал: fgtuvg246
0
0.8(4*1+3*-3)-6(0.4*1+0.8*-3)=0.8(-5)-6(-2)=-4+12=8
Приложения:
Вас заинтересует