Ответы
Ответ дал:
0
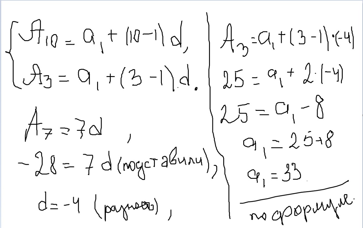
Ответ,d=-4
а1=33.
решение представлено на скриншоте
а1=33.
решение представлено на скриншоте
Приложения:

Вас заинтересует
2 года назад
2 года назад
7 лет назад
10 лет назад
10 лет назад
10 лет назад