Ответы
Ответ дал:
0
пока 2 номера,набери в готовом домашнем задании ! просто и все
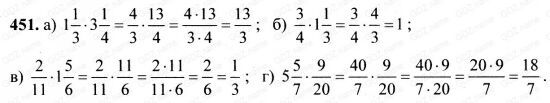
Приложения:


bankomat:
че
Вас заинтересует
2 года назад
2 года назад
2 года назад
7 лет назад
8 лет назад