• Предмет: Алгебра
  • Автор: TETRIS24
  • Вопрос задан 10 лет назад

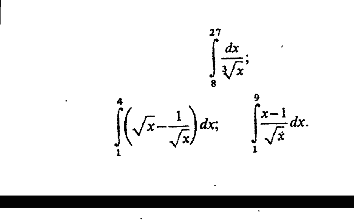
Вычислите следующие интегралы :

Приложения:

Ответы

Ответ дал: NNNLLL54
0
int _0^{frac{pi}{4}}, sin4x, dx=-frac{1}{4}}cos4x|_0^{frac{pi}{4}}=-frac{1}{4}(cospi -cos, 0)=-frac{1}{4}(-1-1)=frac{1}{2}\\int _0^{pi }cosfrac{x}{2}, dx=2sinfrac{x}{2}|_0^{pi }=2(sinfrac{pi}{2}-sin0)=2(1-0)=2
Вас заинтересует