• Предмет: Алгебра
  • Автор: TETRIS24
  • Вопрос задан 10 лет назад

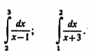
Вычислите следующие интегралы .

Приложения:

Ответы

Ответ дал: NNNLLL54
0
int _0^1e^{3x}dx=frac{1}{3}e^{3x}, |_0^1=frac{1}{3}(e^3-1)\\int _2^3frac{dx}{x-1}=ln|x-1|, |_2^3=ln2-ln1=ln2\\int _1^2frac{dx}{x+3}=ln|x+3|, |_1^2=ln5-ln4=lnfrac{5}{4}

int _{-frac{pi}{4}}^{frac{pi}{4}}cosx, dx=sinx, |_{-frac{pi}{4}}^{frac{pi}{4}}=sinfrac{pi}{4}-sin(-frac{pi}{4})=frac{sqrt2}{2}+frac{sqrt2}{2}=sqrt2\\int _{-frac{pi}{2}}^{frac{pi}{2}}(cosx-sinx)dx=(sinx+cosx)|_{-frac{pi}{2}}^{frac{pi}{2}}=\\=sinfrac{pi}{2}+cosfrac{pi}{2}-(sin(-frac{pi}{2})+cos(-frac{pi}{2}))=1+0-(-1+0)=2
Вас заинтересует