• Предмет: Алгебра
  • Автор: PereverzevaoL
  • Вопрос задан 10 лет назад

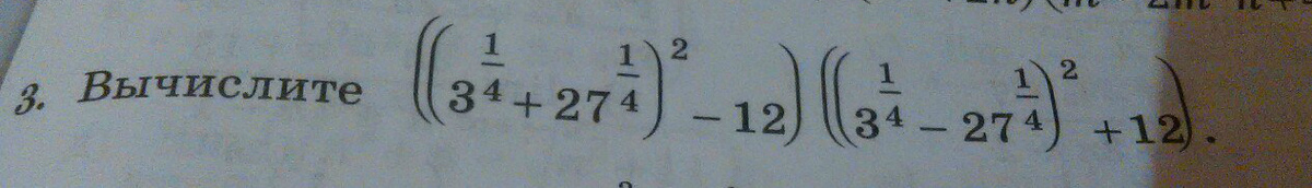
помогите решить два примера,очень срочно нужно решение!!!!

Приложения:

Ответы

Ответ дал: Lemon74rusus
0
№3
Возводим все числа в степень
(√7-√3)²+(√7+√3)²
Раскрываем по формуле
7-2√21+3+7+2√21+3=20
Ответ:20







Вас заинтересует