• Предмет: Алгебра
  • Автор: solnce2201
  • Вопрос задан 10 лет назад

помогите, пожалуйста, с логарифмами)

Приложения:

Ответы

Ответ дал: xERISx
0

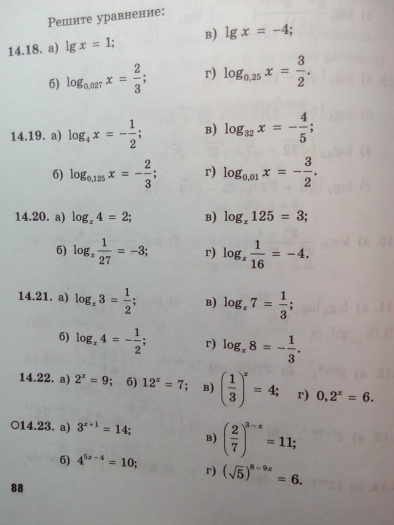
14.18

a)

 lgx=1; x=10^1; x=10

б)

  log_{0,027}x=dfrac{2}{3} ; x = (0,027)^frac{2}{3} =0,3^2;\x=0,09

в)

 lgx=-4; x=10^{-4};\x = 0,0001

г)

 log_{0,25}x=dfrac{3}{2}; x=(0,25)^{frac{3}{2}} =0,5^3;\x=0,125

================================

14.19

а)

 log_4x=-dfrac{1}{2} ; x=4^{-frac{1}{2}} =dfrac{1}{sqrt{4}} ;\x=dfrac{1}{2}

б) 

 log_{0,125}x=-dfrac{2}{3} ; x=(0,125)^{-frac{2}{3}} =0,5^{-2}=(dfrac{1}{2}) ^{-2}=2^2;\x=4

в) 

 log_{32}x=-dfrac{4}{5} ; x=32^{-frac{4}{5}}=2^{-4};\x=frac{1}{16}

г) 

 log_{0,01}x=-dfrac{3}{2}; x = (0,01)^{-frac{3}{2}} =(dfrac{1}{10})^{-3} =10^3;\x=1000

===================================

14.20

Для основания логарифма x при извлечении корней четной степени следует помнить про ограничение : x > 0; x≠1

а) 

 log_x4=2;x^2=4;x=sqrt{4};\  x=2

б) 

 log_xdfrac{1}{27} =-3; x^{-3}=dfrac{1}{27};x^3=27;\\x=3

в) 

 log_x125=3;x^3=125;\x=5

г) 

 log_xdfrac{1}{16} =-4;xneqx^{-4}=dfrac{1}{16}; x^4=16;\ \ x=2

==============================

14.21

а) 

 log_x3=dfrac{1}{2}; x^{frac{1}{2}} =3; x = 3^2;\ x=9

б) 

 log_x4=-dfrac{1}{2} ; x^{-frac{1}{2}} =4;x^frac{1}{2} =dfrac{1}{4} ;x=dfrac{1}{4^2} ;\x=dfrac{1}{16}

в) 

 log_x7=frac{1}{3} ; x^{frac{1}{3}} =7;x=7^3;\x=343

г) 

 log_x8=-frac{1}{3} ; x^{-frac{1}{3}} =8;x =8^{-3}=dfrac{1}{8^3};\ x=dfrac{1}{512}

==================================

14.22

а) 

 2^x=9; log_22^x=log_29; x=log_23^2;\ x=2log_23

б) 

 12^x=7;log_{12}12^x=log_{12}7;\ x=log_{12}7

в) 

 (dfrac{1}{3} )^x=4; log_{1/3}(dfrac{1}{3}) ^x=log_{1/3}4;x=log_{1/3}4;\\ x=-log_34

г) 

 0,2^x=6; (dfrac{1}{5}) ^x=6;log_{1/5}(dfrac{1}{5}) ^x=log_{1/5}6;x=log_{1/5}6;\ x = -log_56

=================================

14.23

а) 

 3^{x+1}=14;log_33^{x+1}=log_314;x+1=log_314;\ x=log_314-1

б) 

 4^{5x-4}=10; log_44^{5x-4}=log_410;5x-4=log_410;\ 5x=log_410+4;x=0,2log_410+0,8

в) 

 (dfrac{2}{7} )^{3-x}=11;log_{2/7}(frac{2}{7}) ^{3-x}=log_{2/7}11;3-x=log_{2/7}11;\ \ x=3-log_{2/7}11

г) 

 (sqrt{5}) ^{8-9x}=6;5^{4-4,5x}=6;log_55^{4-4,5x}=log_56;\ 4-4,5x=log_56;4,5x=4-log_56;||| *frac{2}{9} \ \ x=dfrac{8}{9} -dfrac{2}{9} log_56

Вас заинтересует