Ответы
Ответ дал:
0
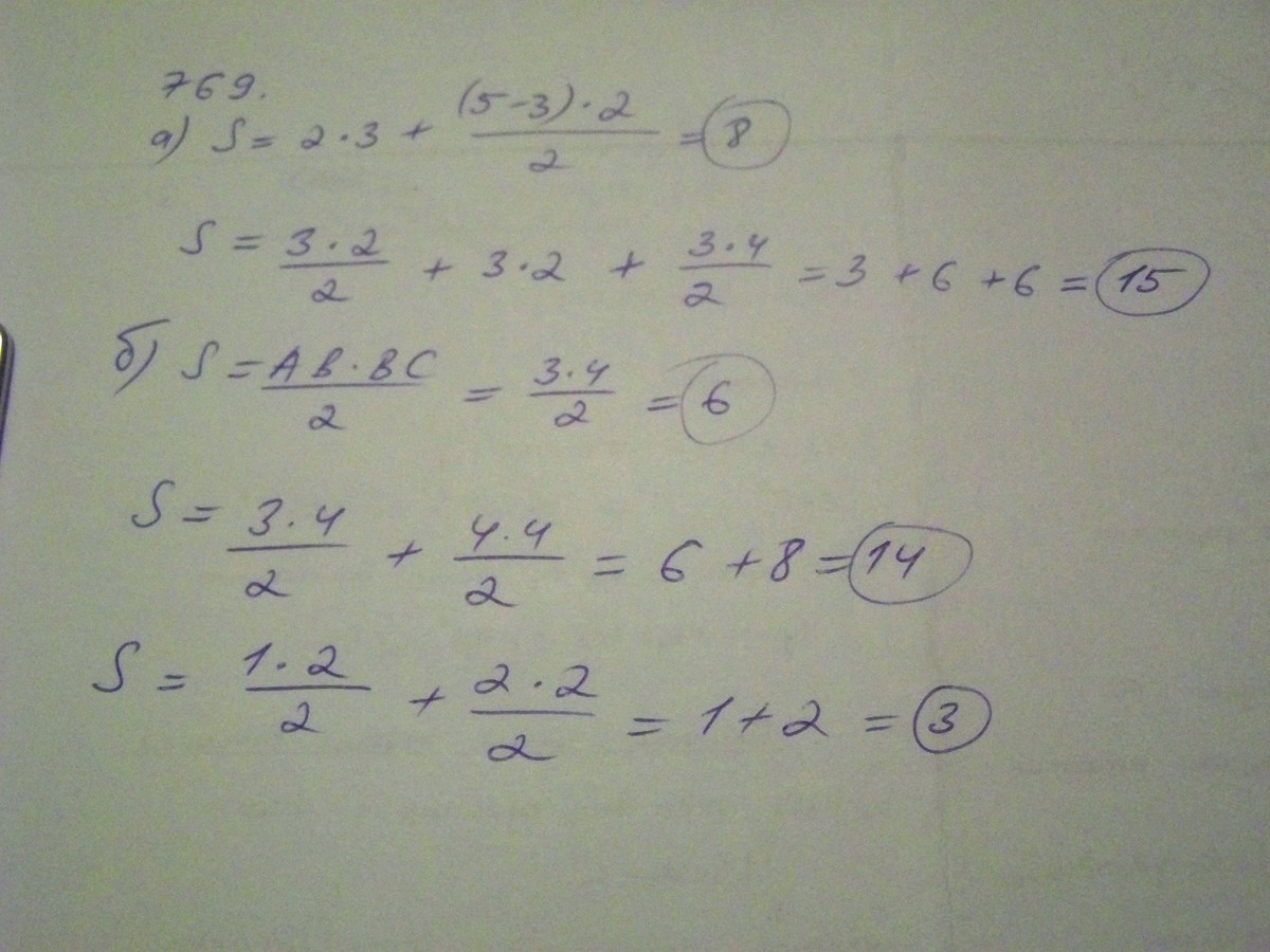
Чтоб найти площадь прямоугольника нужно найти произведение длины и ширины.
Чтоб найти площадь прямоугольного треугольника нужно произведение катетов поделить пополам.
Чтоб найти площадь прямоугольного треугольника нужно произведение катетов поделить пополам.
Приложения:

Вас заинтересует
2 года назад
2 года назад
10 лет назад
10 лет назад
10 лет назад