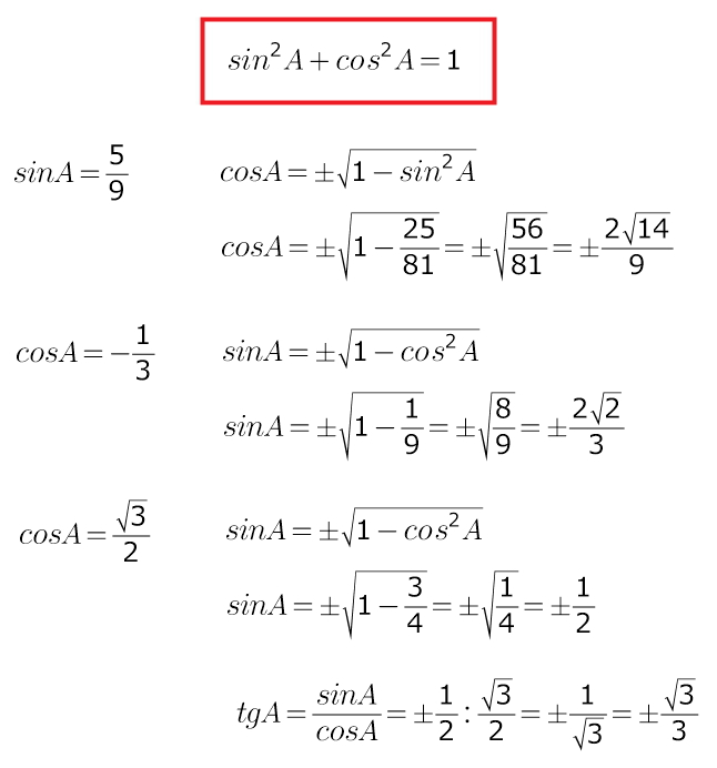
1)cosA=?,если sinA=5/9
2)tgA=?,если cosA=1/3
3)sinA=?,если cosA=4/7
4)tgA=?,если sinA=3/4
5)sinA=?,если cosA=-1/3
6)cosA=?,если sinA=2/3
7)tgA=?,если cos 1/2
8)tgA=?,если cosA=√3/2
9)sinA=?,если cosA=-1/4
10)cosA=?,если sinA-2/3
Ответы
Ответ дал:
0
-----------------------------------
Приложения:

Вас заинтересует
2 года назад
7 лет назад
7 лет назад
10 лет назад