Ответы
Ответ дал:
0
вроде так решается)))
Приложения:

Ответ дал:
0
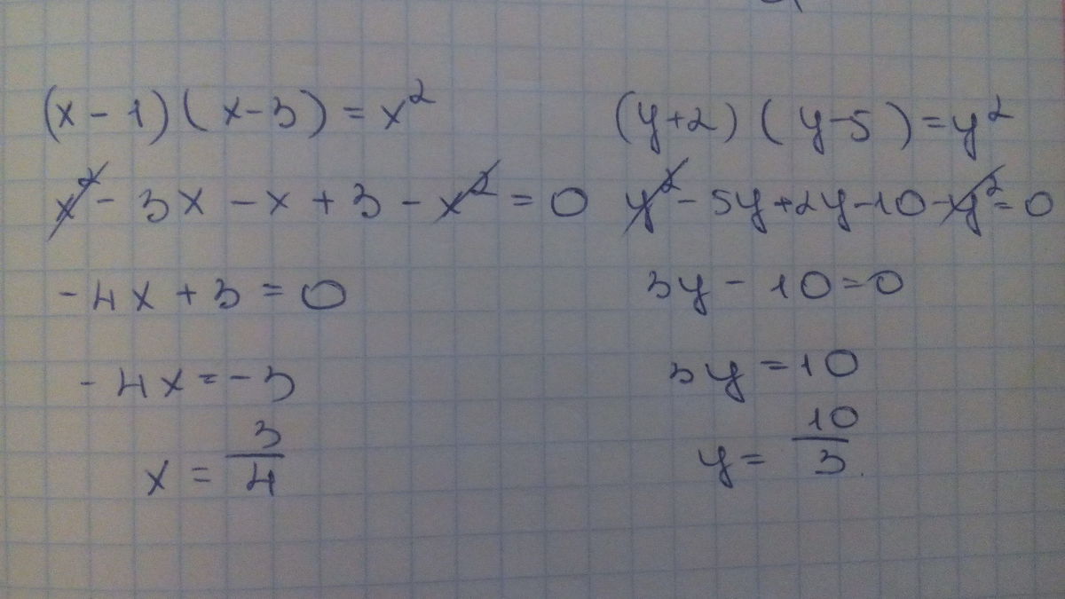
(x-1)(x-3)=x²
Х²-3х-х+3=х²
4х=3
Х=3/4
(y+2)(y-5)=y²
У²-5у+2у-10=у²
3у=10
у=10/3
у=3.3
Приложения:

Вас заинтересует
2 года назад
10 лет назад
10 лет назад
10 лет назад