• Предмет: Математика
  • Автор: cube95
  • Вопрос задан 10 лет назад

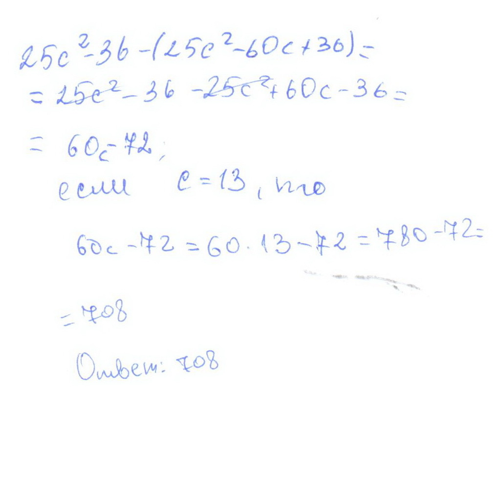
(5c - 6) (5c + 6) - (5c - 6)² при c = 13

Ответы

Ответ дал: masha501110
0
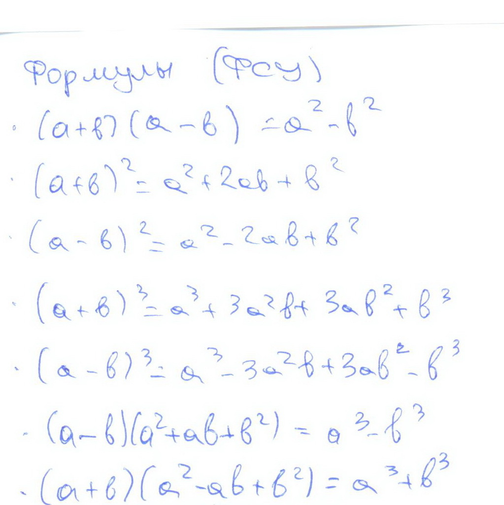
Вот,собственно,решение + формулы сокращенного умножения, "фсу",по которым решать намного проще.
Приложения:
Вас заинтересует