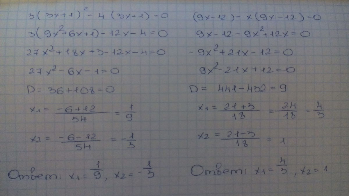
Решите уравнения,используя разложение на множители:1)3(3x+1)²-4(3x+1)=0
2) (9x-12)-x(9x-12)=0.Решите плиз срочно надо в течении 1-3часов плиз срочно!!!!!!!!!
Ответы
Ответ дал:
0
..................................
Приложения:

Вас заинтересует
2 года назад
7 лет назад
7 лет назад
10 лет назад
10 лет назад
10 лет назад
10 лет назад