Нужно решить полностью, с картинкой к расчетам. Оформление с Дано | Решение, как положено.
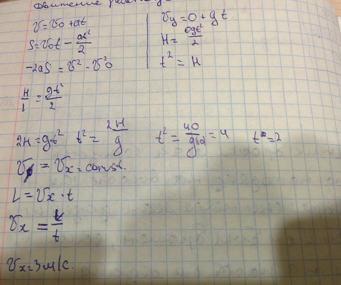
Задача: Мяч подбросили горизонтально из окна, находящегося на высоте 20 метров. Сколько времени летел мяч до земли и с какой скоростью он был брошен, если упал на расстоянии 6 метров от дома?
Ответы
Ответ дал:
0
Мяч был брошен со скоростью 3м/с
Приложения:
Вас заинтересует
2 года назад
2 года назад
8 лет назад
8 лет назад
10 лет назад
10 лет назад
10 лет назад