Ответы
Ответ дал:
0







x1=(9+1):2=10:2=5
x2=(9-1):2=8:2=4
ответ:4;5








x1=(1+5):6=6:6=1
x2=(1-5):6=-4:6=-2/3
ответ:-2/3;1
x1=(9+1):2=10:2=5
x2=(9-1):2=8:2=4
ответ:4;5
x1=(1+5):6=6:6=1
x2=(1-5):6=-4:6=-2/3
ответ:-2/3;1
Ответ дал:
0
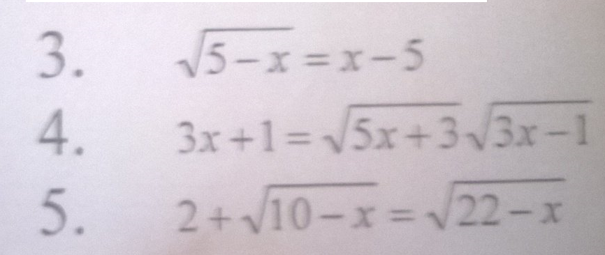
1) Возводим в квадрат обе части:
5-х=(х-5)^2,при этом х=<5
х^2-10х+25+х-5=0
х^2-9х+20=0
х1=4
х2=5
Отв: 4;5
2)Возводим обе части в квадрат:
(3х+1)^2=(5х+3)(3х-1)
9х^2+6х+1=15х^2+9х-3-5х
-6х^2+2х+4=0
6х^2-2х-4=0
и решаем уравнение,при этом х>= -3/5
в 3 тосно так же возводим в квадрат
5-х=(х-5)^2,при этом х=<5
х^2-10х+25+х-5=0
х^2-9х+20=0
х1=4
х2=5
Отв: 4;5
2)Возводим обе части в квадрат:
(3х+1)^2=(5х+3)(3х-1)
9х^2+6х+1=15х^2+9х-3-5х
-6х^2+2х+4=0
6х^2-2х-4=0
и решаем уравнение,при этом х>= -3/5
в 3 тосно так же возводим в квадрат
Ответ дал:
0
НЕ ЗАБУДЬ ПРО ОБЛАСТЬ ЗНАЧЕНИЯ Х!
Вас заинтересует
3 года назад
8 лет назад
10 лет назад
11 лет назад