Помогите*
1)Дано:АВСD-выпуклый четырехугольник.Угол В=углу D=90 градусов.
Найдите AD.
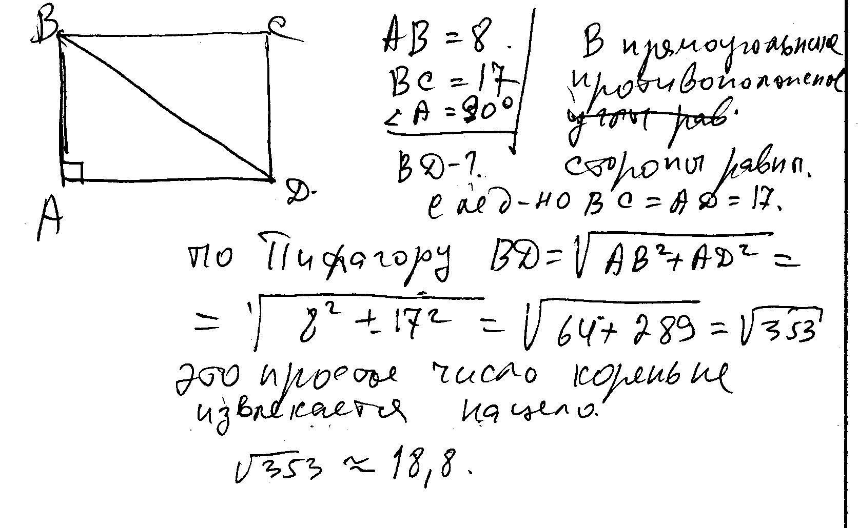
2)Треугольник ABCD-прямоугольник.
Угол А=90 градусов,АВ=8,ВС=17.
Найдите:BD
Ответы
Ответ дал:
0
Первая задача не имеет смысла. Зная только два угла невозможно вычислить длину стороны. Во второй задаче вместо слова "треугольник" надо читать "четырехугольник"
Приложения:

Вас заинтересует
2 года назад
8 лет назад
10 лет назад
10 лет назад
10 лет назад