• Предмет: Математика
  • Автор: Tchervova2011
  • Вопрос задан 10 лет назад

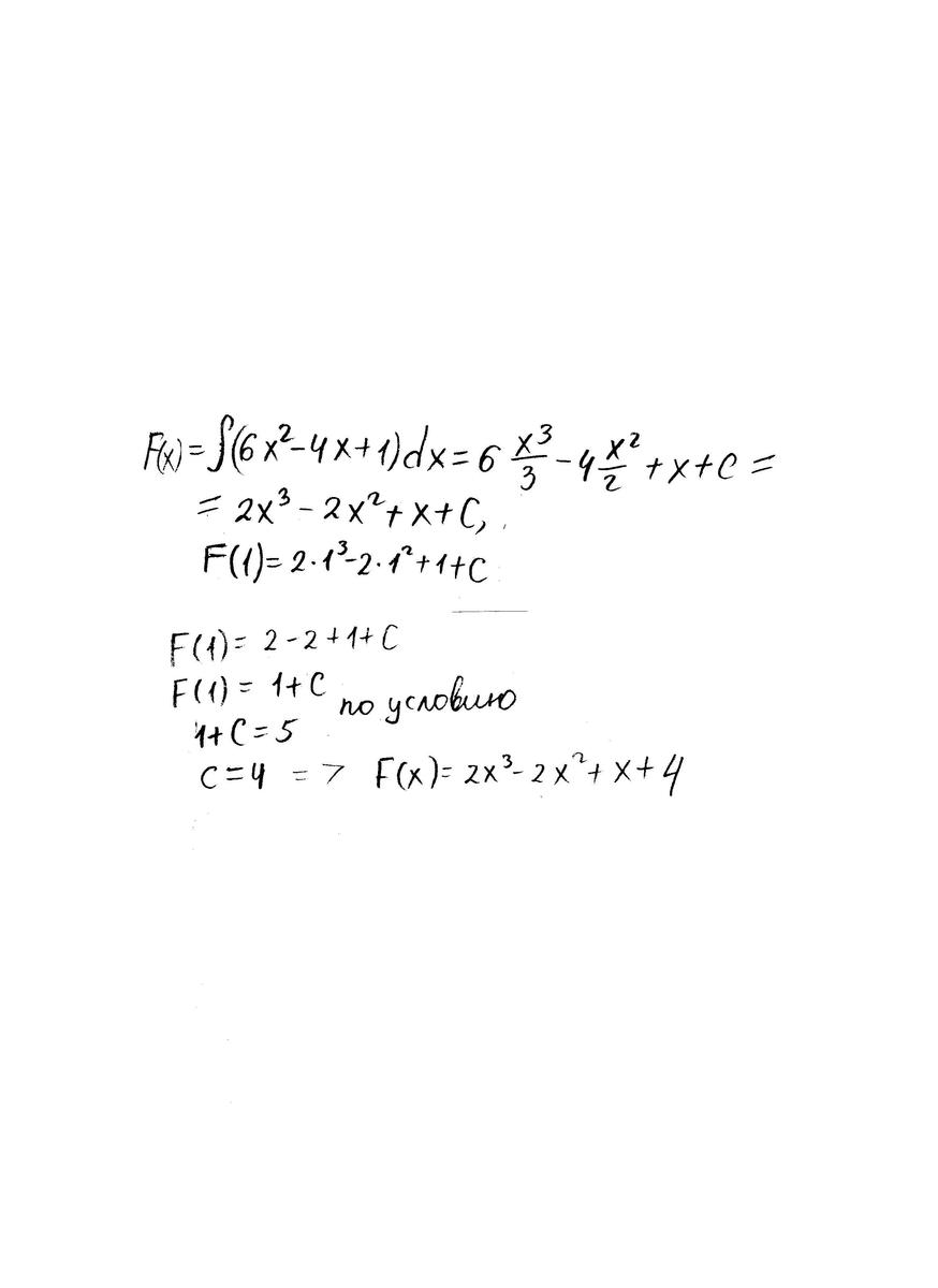
найти первообразную функции f(x)=6x^2-4x+1, проходящую через точку А(1;5)

Ответы

Ответ дал: bearcab
0
Решение в приложении.
Приложения:
Вас заинтересует