найдите частату колебаний груза на пружине массой 400 г, подвешенного к пружине жесткостью k=160
Ответы
Ответ дал:
0
решение:
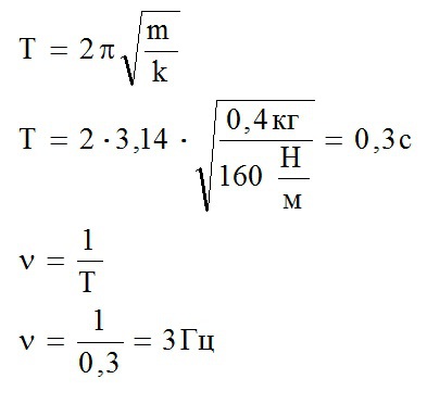
T=2П*√m/k
v=1/T
v=3Гц
T=2П*√m/k
v=1/T
v=3Гц
Приложения:
Вас заинтересует
3 года назад
8 лет назад
8 лет назад
10 лет назад
11 лет назад