Определите энтальпию образование этилена по уравнению горения этилена :
С2Н4 +3O2 =2CO2 + 2Н2О
ΔНр-ции =-1408,0 кДж
ΔН0298(CO2) = -393,5 кДж/моль
ΔН0298(Н2О) = -285,8 кДж/моль
Ответы
Ответ дал:
0
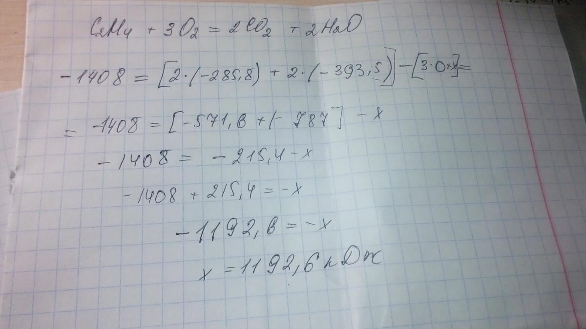
c2H4+3o2=2co2+2h2o;
-1408=[2*(-285,8)+2(-393,5)]-[3*0+1x];
-1408=[-571,6-787]-X;
-1408+215,4=-X;
-1192,6=-x;
X=1192,6
Q(c2h4)=1192,6кДж
Приложения:

Ответ дал:
0
да я то уже решила
Ответ дал:
0
написать мицеллу золя иодида свинца/П/реакция обмена между нитратом свинца/П/ и иодидом калия , если в избытке иодид калия.
Ответ дал:
0
{[mPbI2]nI(-)xK(+)}(n-x)K(+)
Ответ дал:
0
спасибо
Ответ дал:
0
пожалуйста
Вас заинтересует
2 года назад
2 года назад
7 лет назад
10 лет назад
10 лет назад
10 лет назад
10 лет назад