• Предмет: Алгебра
  • Автор: КамиLLочка
  • Вопрос задан 10 лет назад

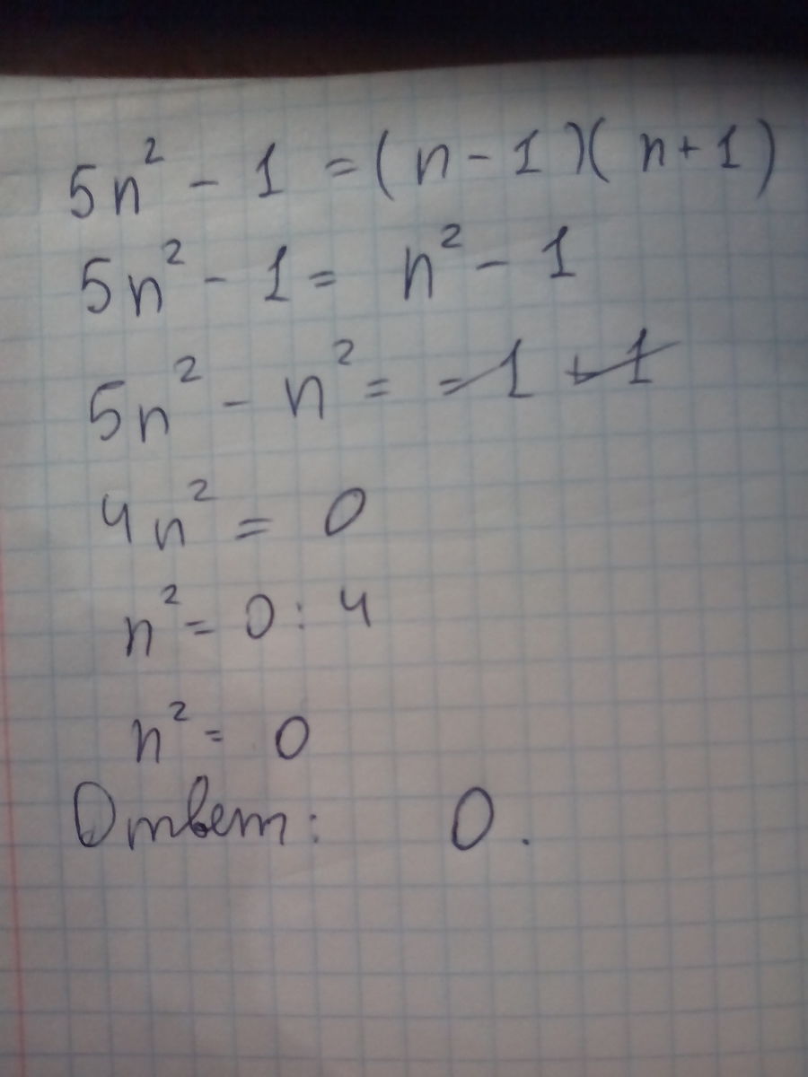
Решите уравнение : 5n^2-1=(n-1)(n+1)

Ответы

Ответ дал: keti200901
0
вот.........................
Приложения:
Вас заинтересует