Ответы
Ответ дал:
0
(1//1.5-1//2.5)*4//15= (2//3-0.4)*4//15=3. 4//15*4//15=16//225 //-это дробь
Ответ дал:
0
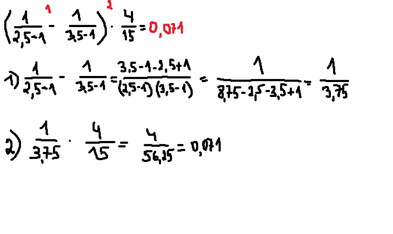
Реешение во вложении.
Проверь свое условие,а то ответ странный получается.
Приложения:

Вас заинтересует
2 года назад
2 года назад
8 лет назад
8 лет назад
10 лет назад
10 лет назад
10 лет назад