• Предмет: Математика
  • Автор: Bella111111111
  • Вопрос задан 10 лет назад

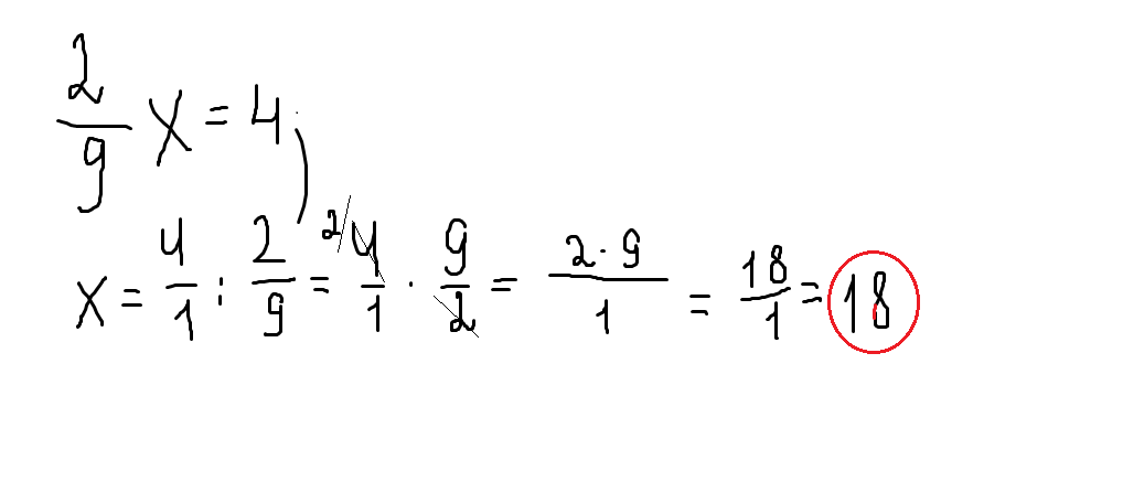
найди х, если 2/9х=4.

Ответы

Ответ дал: sidorenkoartem
0
1) 4:2=2
2) 2*9=18
Ответ: х= 18
Ответ дал: 0ВреднаЯ0
0
найди х, если 2/9х=4
Приложения:
Вас заинтересует