• Предмет: Математика
  • Автор: vladakacatkuna
  • Вопрос задан 10 лет назад

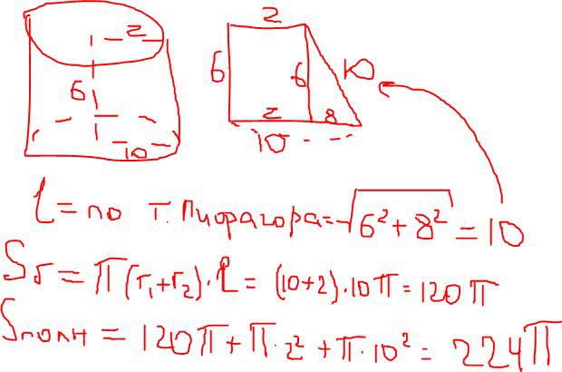
высота усеченного конуса 6 см , радиусы оснований 10 см и 2 см. найдите sбок и sполн.

Ответы

Ответ дал: Junix
0
Вот, я специально старался, держи ;)

Приложения:
Вас заинтересует