• Предмет: Математика
  • Автор: HelenAngelo
  • Вопрос задан 10 лет назад

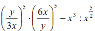
Помогите решить часть пример
вторую часть с Х ,а то не получается решить

Приложения:

Ответы

Ответ дал: lenakowalchuck
0
там х будет в степени 1/2 или √х 
Ответ дал: HelenAngelo
0
получает х^3 : корень из х ^5 , потос под один корень вносим: корень из ( х^5-3) = корень из (x) так?
Ответ дал: lenakowalchuck
0
Я делала так при деление с одинаковыми показателями основания вычитаются .Значит из 3 нужно вычисть 5/2, 3 представим как 2 2/2 а 5/2,как 2 1/2 и тогда получается 1/2
Ответ дал: HelenAngelo
0
спасибо еще раз
Ответ дал: lenakowalchuck
0
не за что)
Вас заинтересует