• Предмет: Алгебра
  • Автор: karizzz
  • Вопрос задан 10 лет назад

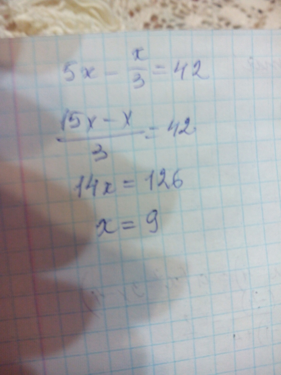
5x-x÷3=42 решите уравнение

Ответы

Ответ дал: baimakhanova200
0
5х-х:3=42;
15х-х=42
14х=42
Х=42:14
Х=3т
Ответ дал: Veveta
0
......................................
Приложения:
Вас заинтересует