груз массой 12 кг поднимают равноускоренно на шнуре. за 5 секунд подъема груза его скорость изменилась от 2 м/с до 5 м/с Найти силу натяжени шнура
Ответы
Ответ дал:
0
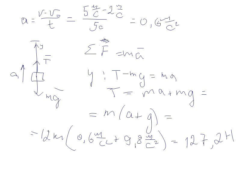
Ускорение груза равно а
а=∆V/t=3/5=0,6 м/с^2
По второму з. Ньютона
T-mg=ma
T=mg+ma
T=12*10,6=127,2 Н
а=∆V/t=3/5=0,6 м/с^2
По второму з. Ньютона
T-mg=ma
T=mg+ma
T=12*10,6=127,2 Н
Ответ дал:
0
ответ в прикрепленном файле
Приложения:
Вас заинтересует
2 года назад
8 лет назад
10 лет назад
10 лет назад
10 лет назад