• Предмет: Алгебра
  • Автор: yuliya00178
  • Вопрос задан 10 лет назад

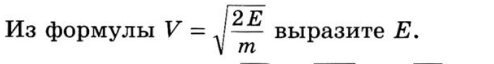
Помогите пожалуйста. 8 класс

Приложения:

Ответы

Ответ дал: Неуловимыйтип
0
V=sqrt{2E/m};;V= sqrt{2E}/ sqrt{m} ;; sqrt{2E} =V sqrt{m};; sqrt{E}=V sqrt{m} / sqrt{2} ;;\
E= sqrt{V sqrt{m} / sqrt{2}}
Вас заинтересует