• Предмет: Физика
  • Автор: suomioly
  • Вопрос задан 11 лет назад

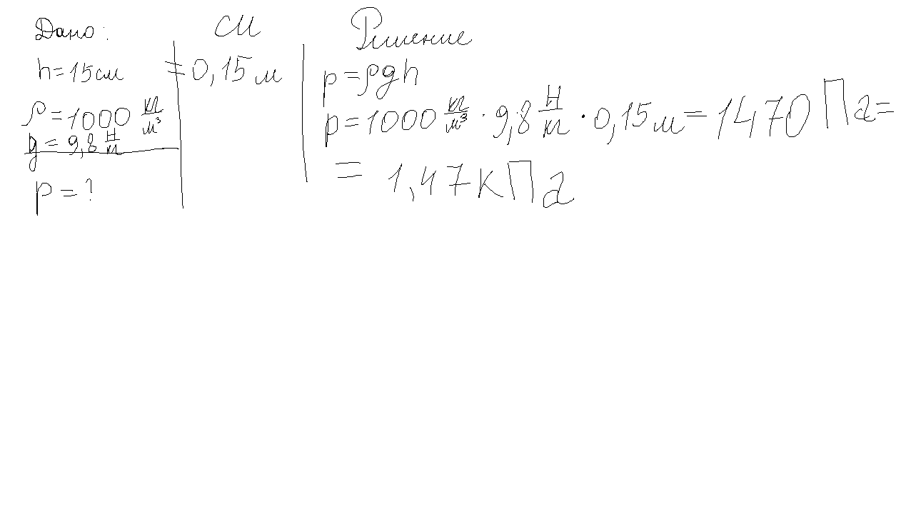
Помогите решить задачу,пожалуйста!!! В сосуд налили слой воды высотой 15 см.каково давление этого слоя на дно сосуда??? Плотность воды-1000. Мне нужно само решение.((((

Ответы

Ответ дал: СatNight
0

смори решение во вложении 

Приложения:
Вас заинтересует